我是可爱的问题
1. 类比梯形面积公式,理解匀变速直线运动的位移公式,下面给出(100灵石)x=v_0 t+\frac{1}{2} at^{2}
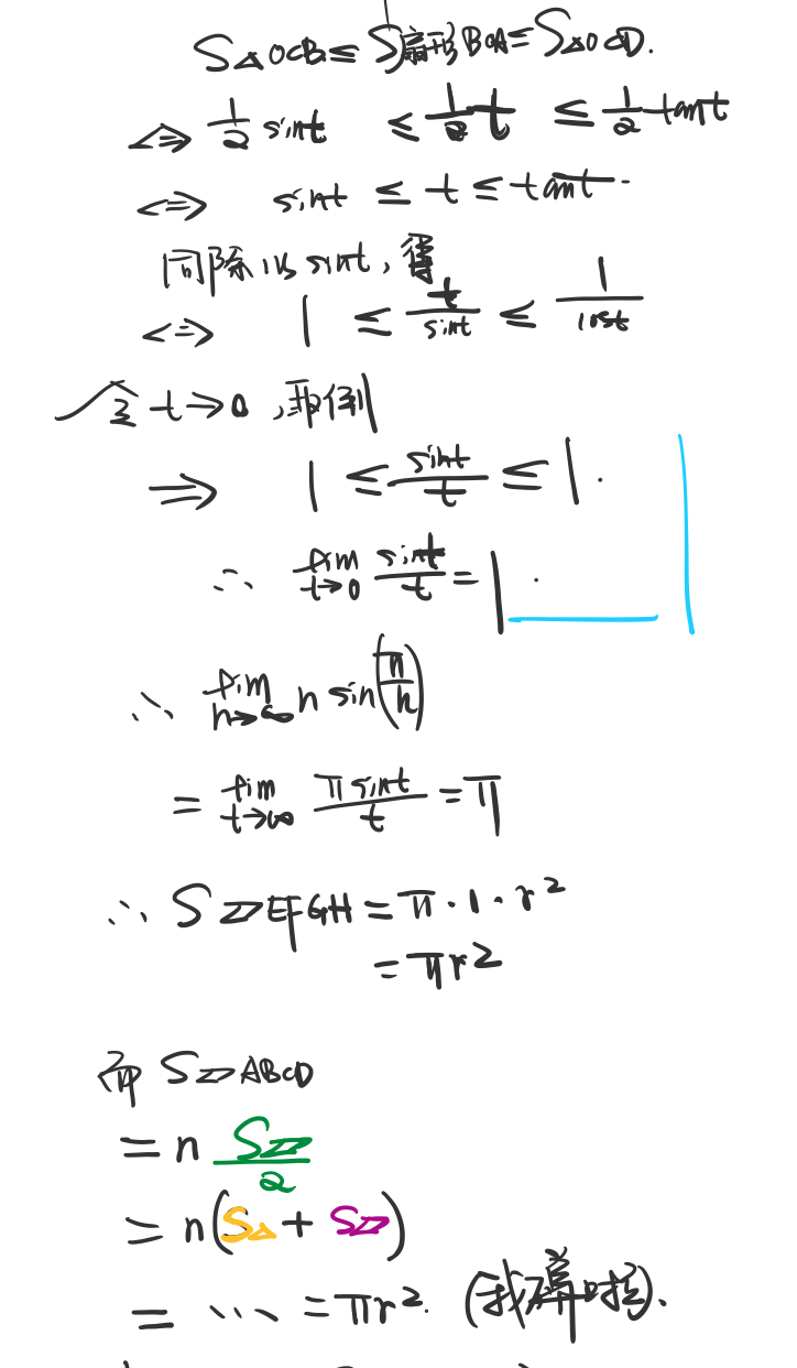
2. 用积分法,推导圆的面积公式(100灵石)
3. 思考微积分基本定理(牛顿-莱布尼茨公式),为什么使用反导数就可以避免用极限方法来求面积?(100
【查看更多内容请登录哈】






为了回答【思维训练三】的最后一问“探索球的体积公式”,我们来认识一些概念。#7126!
一、 极限
我们观察反比例函数 y=\frac{k}{x} \left ( k > 0 \right ) 的图像:
494293
很容易就能发现这些性质啦!
自变量x的取值范围(定义域):- \inft
【查看更多内容请登录哈】

我是可爱的问题
【前提】
我们约定,当一个东西被无限平均分的结果为零。
感到疑惑没关系,我们在后面能够说明这个结论是多么的正确。
1. 用你能想到的方法证明 0.333... = 1/3(将零点三,三循环化成分数) (30分/灵石)
2. 解方程(30分/灵石)
494272
3.
【查看更多内容请登录哈】
【链接登录后可见】
如果将一个含省略号的式子(无穷多项)转化成含n的式子(有限项,但是n是无穷大),转化后的式子不能再含 ...
算错了,是(1/2)^n次幂,不过我一直以为省略号是一个具体数值,虽然可以是任意一个数,但是一个具体值,这样就可以用极限了。如果省略号代表无穷大的话,无穷大的无穷小,e
【查看更多内容请登录哈】
[查看全文]
【链接登录后可见】
(a^m)^n=a^(m*n)
y的二分之一次幂再二分之一次幂=y的四分之一次幂,这样类推下去应该是2n分之一次幂?
很 ...
如果将一个含省略号的式子(无穷多项)转化成含n的式子(有限项,但是n是无穷大),转化后的式子不能再含有省略号(无穷多项)啦。
因为极限的运
【查看更多内容请登录哈】
[查看全文]
【链接登录后可见】
第二题的变形我看着好像不对诶,被开方数那里有无限个2呢,指数怎么能这样合并呢 ...
(a^m)^n=a^(m*n)
y的二分之一次幂再二分之一次幂=y的四分之一次幂,这样类推下去应该是2n分之一次幂?
很久不学数学惹,有哪里错了吗?有点看不出来
[查看全文]
已经忘得一干二净。。。为了做题,过来学习一下。。。
顺便来个选修补丁。。我找得也不太全。。
链接:【链接登录后可见】 密码:
emmmmm,分享一下我的学习心得(划重点——不一定对哈,这不是教学,只是分享!),建议1.5倍速度观看……
诱导公式那里有点小错误
{:37_9019:}
【链接登录后可见】
如题,分享的是苗金利老师的数学课程【其实是从蓝大那里拿到的资源】,其中还有讲义,建议看视频前先将讲义大体看一遍
链接:【链接登录后可见】
提取码:







